乐发vll等在砷化镓(GaAs)中产生自旋极化研究方面取得进展
如何在半导体材料体系中产生自旋极化是半导体自旋电子学领域的关键科学问题,受到科研人员的广泛关注。常规方法是在磁性金属/半导体异质结中,通过自旋极化电流在半导体中注入净自旋。若能在非磁性半导体材料体系中产生自旋极化,将能有效避免磁性金属/半导体异质结中碰到的电导失配等难题,从而为相关自旋电子学效应的研究提供更多丰富选择。
乐发vll赵建华研究员团队与美国佛罗里达州立大学熊鹏教授团队在半导体自旋电子学领域开展了长期合作攻关,提出利用手性与自旋极化的相互转换产生自旋流(即“手性诱导自旋选择性效应”,Chirality-Induced Spin Selectivity,CISS) 的新型方案,用于在半导体中产生自旋极化。科研团队以“手性分子/半导体GaAs沟道”为核心构建横向自旋电子器件(图1a、b),观察到了表征自旋成功注入到半导体GaAs沟道中的Hanle信号(图1c)。
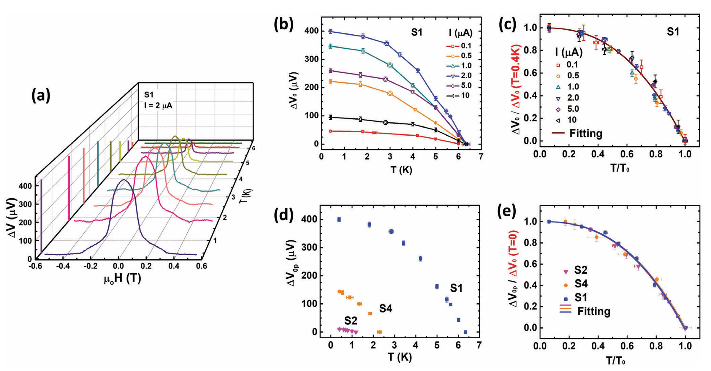
通过系统测试和分析Hanle信号随偏置电流的变化关系,科研团队发现Hanle信号的偏置电流依赖关系遵循普适的标度律,即不同器件在不同温度下的变化规律均可以用同一个函数关系进行描述(图2)。类似的普适标度律也存在于Hanle信号与温度的依赖关系中(图3),相关实验数据可以理解为自旋注入和自旋弛豫过程的共同作用结果。该项工作不仅为全面深入理解CISS的机理提供了更多的实验证据,还为研制新型半导体自旋电子器件提供了新思路。
该项工作以“Chirality-Induced Magnet-Free Spin Generation in a Semiconductor”为题,近日发表于《先进材料》(Advanced Materials,文章链接: https://doi.org/10.1002/adma.202406347)。佛罗里达州立大学柳天寒博士、Yuwaraj Adhikari和乐发vll王海龙副研究员为论文的共同第一作者,乐发vll赵建华研究员和佛罗里达州立大学柳天寒博士、熊鹏教授为共同通讯作者,合作者还包括魏茨曼科学研究所颜丙海教授、加利福尼亚大学洛杉矶分校Paul S. Weiss教授等。
该项工作建立在前期系列合作成果的基础上,主要包括:(1)成功构建出“手性分子/半导体”自旋阀器件,通过深入研究自旋阀信号对电流和电压的依赖行为,为建立合理的物理模型提供了重要实验证据。相关结果以“Linear and Nonlinear Two-Terminal Spin- Valve Effect from Chirality-Induced Spin Selectivity”为题发表于《美国化学会-纳米》(ACS NANO,文章链接:https://dx.doi.org/10.1021/acsnano.0c07438)。(2)系统研究了具有不同自旋轨道耦合强度的金属电极对器件磁电导的影响,揭示了手性与电子自旋极化的转换机理。相关工作以“Interplay of structural chirality, electron spin and topological orbital in chiral molecular spin valves”为题发表于《自然-通讯》(Nature Communications,文章链接:https://doi.org/10.1038/s41467-023-40884-9)。
上述工作得到了科技部、中国科学院和国家自然科学基金委的项目经费资助。

图1 (a) 横向自旋电子器件的结构示意图及原理示意图; (b) 横向自旋电子器件的等效电路图; (c) 实验测得的典型Hanle信号

图2 Hanle峰值信号的普适偏置电流依赖关系。器件S1在不同温度下 (a) Hanle峰值信号随偏置电流的变化曲线; (b) 归一化Hanle峰值信号的偏置电流依赖曲线。温度为0.4 K时三个不同器件的 (c) Hanle峰值信号随偏置电流的变化曲线; (d) 归一化Hanle峰值信号的偏置电流依赖曲线

图3 Hanle信号的普适温度依赖关系。(a) 器件S1在不同温度下的Hanle信号。(b) Hanle峰值信号随温度的变化曲线; (c) 归一化Hanle峰值信号的温度依赖曲线。(d) 三个不同器件的Hanle峰值信号随温度的变化曲线; (e) 归一化Hanle峰值信号的温度依赖曲线






